• Предмет: Алгебра
  • Автор: kuharenko99
  • Вопрос задан 11 лет назад

9 класс: Тема: Система неравенств. Метод интервалов.
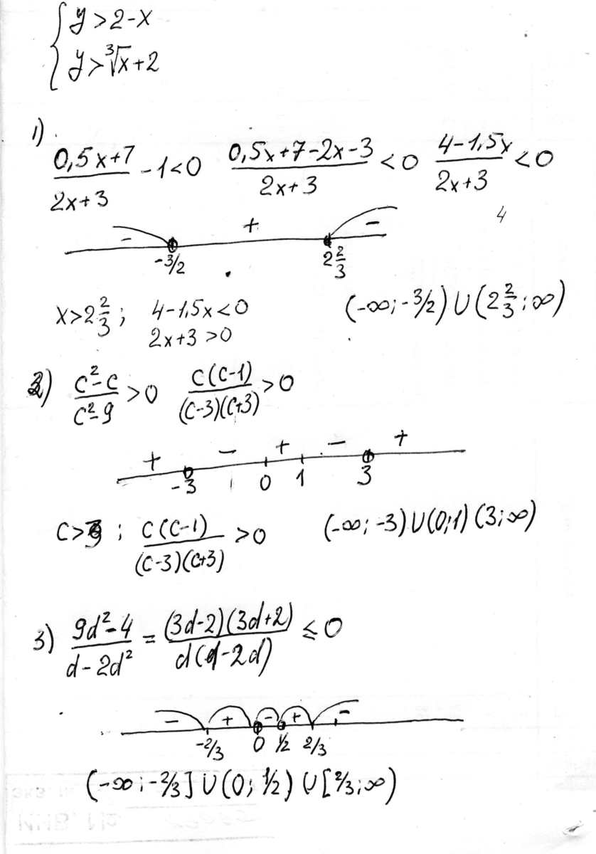
Неравенство № 1.
Я немного не допоняла в конце.
0,5х+7
----------  < 1
2х+3

Неравенство № 2
с2 - с
--------    > 0
c2 - 9
Неравенство № 3
9d2 - 4
----------   /= 0
d -2d2

Ответы

Ответ дал: rskopov
0
                         Решение:


Смотри  вложение:....



Приложения:
Вас заинтересует