• Предмет: Математика
  • Автор: artembogatkin
  • Вопрос задан 3 года назад

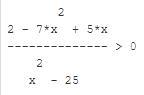
Решить неравенство помогите Вместе знака больше> Стоит больше или равно

Приложения:

Ответы

Ответ дал: Аноним
0

Решение задания прилагаю

Приложения:
Вас заинтересует