• Предмет: Алгебра
  • Автор: shewtsowaolg
  • Вопрос задан 3 года назад

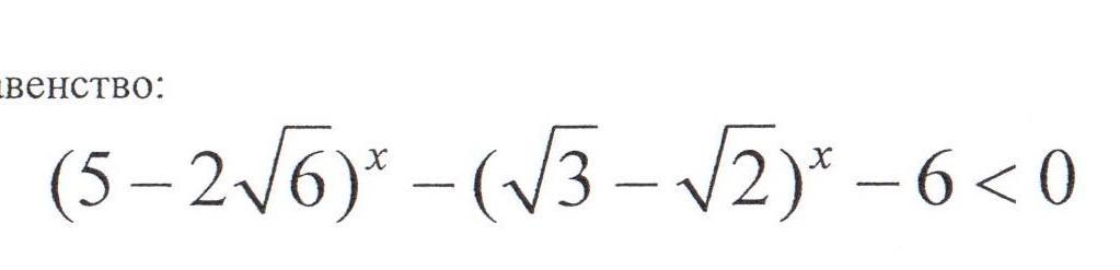
решите неравенство очень срочно

Приложения:

Ответы

Ответ дал: Klick
0

Ответ:

Объяснение:

(5-2\sqrt6)^x-(\sqrt3-\sqrt2)^x-6<0\\t=(\sqrt3-\sqrt2)^x, \: t>0\\t^2-t-6<0\\(t-3)(t+2)<0 | :t+2>0\\t-3<0\\t<3\\(\sqrt3-\sqrt2)^x<3\\x>\log_{\sqrt3-\sqrt2}3\\OTBET: x \in (\log_{\sqrt3-\sqrt2}3; +\infty)

Ответ дал: Аноним
0

Решение задания прилагаю

Приложения:
Вас заинтересует