• Предмет: Алгебра
  • Автор: shewtsowaolg
  • Вопрос задан 3 года назад

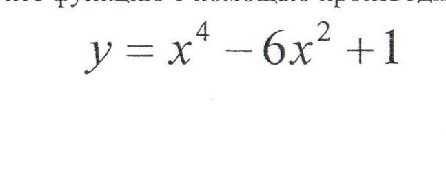
Исследуйте функцию с помощью производной и постройте график

Приложения:

Аноним: Нужно написать когда она увеличивается и спадает?

Ответы

Ответ дал: Мартын05
1

Ответ:

от -∞ до -\sqrt{3} функция убывает;

от -\sqrt{3} до 0 функция возрастает;

от 0 до \sqrt{3} функция убывает;

от \sqrt{3} до ∞ функция возрастает;

Объяснение:

в точках экстремума первая производная функции равна нулю.

Найдём эти точки, для этого возьмём первую производную.

y'=4x^3-12x;

приравняем к нулю.

4x^3-12x=0;

x^3-3x=0;

x(x^2-3)=0;

x1=0;

x2=\sqrt{3};

x3=-\sqrt{3};

Теперь возьмём вторую производную функции в этих точках.

y''=12x^2-12;

y''(x1)=-12 (меньше нуля, значит это точка максимума)

y''(x2)=12*3-12 (больше нуля, значит это точка минимума)

y''(x3)=12*3-12 (больше нуля, значит это точка минимума)

от -∞ до -\sqrt{3} функция убывает;

от -\sqrt{3} до 0 функция возрастает;

от 0 до \sqrt{3} функция убывает;

от \sqrt{3} до ∞ функция возрастает;

Приложения:
Ответ дал: Аноним
1

Решение задания прилагаю

Приложения:
Вас заинтересует