Ответы
Ответ дал:
1
Ответ:
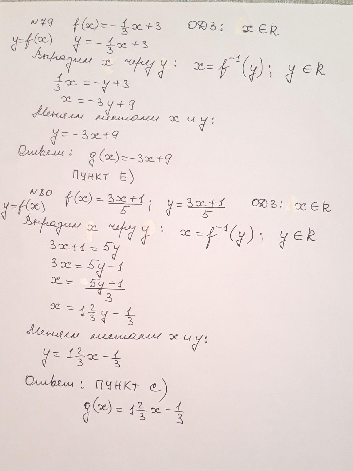
79) Пункт Е)
g(x)=-3x+9
80) Пункт С)
g(x)=1 2/3x-1/3
Пошаговое объяснение:
Пожалуйста, 3мин. на загрузку.
Приложения:

Вас заинтересует
2 года назад
2 года назад
2 года назад
7 лет назад
9 лет назад