• Предмет: Алгебра
  • Автор: Аноним
  • Вопрос задан 3 года назад

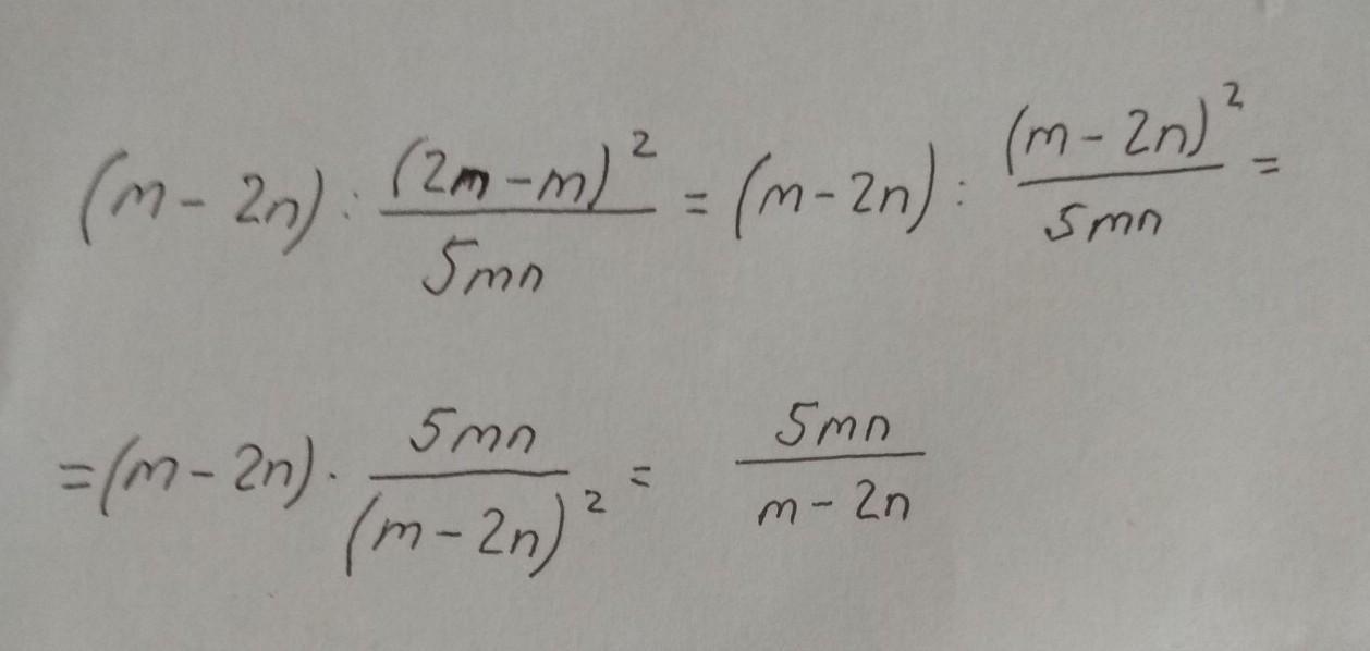
Дам 100 баллов помогите пожалуйста выполните действия (m-2n) :(2n-m)^/5mn

Приложения:

Аноним: Срочно
Аноним: Пж
Аноним: Спасибо

Ответы

Ответ дал: MizoriesKun
14

Смотри.....................

Приложения:

Аноним: Сэнкью
Аноним: Помоги мне с з примером
Ответ дал: kykyryza256
7

Ответ:

5mn/(m-2n)

Решение на фото

Приложения:

Аноним: Спасибо большое за информацию
Вас заинтересует