• Предмет: Алгебра
  • Автор: vzrivzopi
  • Вопрос задан 3 года назад

помогите пожалуйста ​

Приложения:

Ответы

Ответ дал: kykyryza256
1

Ответ:

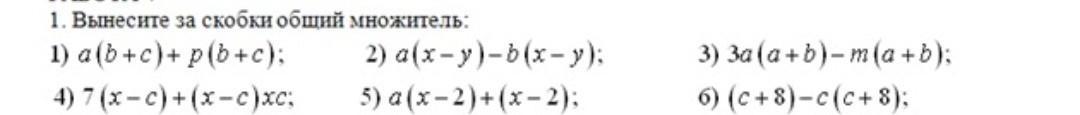
1) a(b+c)+p(b+c) = (b+c)(a+p)

2) a(x-y)-b(x-y) = (x-y)(a-b)

3) 3a(a+b)-m(a+b) = (a+b)(3a-m)

4) 7(x-c)+(x-c)xc = (x-c)(7+xc)

5) a(x-2)+(x-2) = (x-2)(a+1)

6) (c+8)-c(c+8) = (c+8)(1-c)

Вас заинтересует