• Предмет: Алгебра
  • Автор: vzrivzopi
  • Вопрос задан 3 года назад

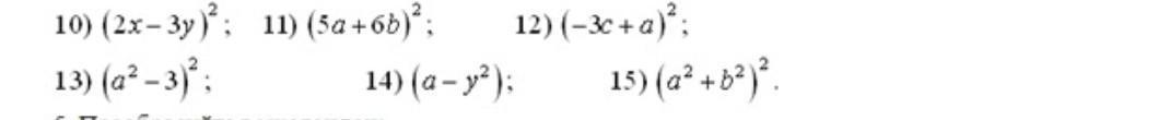
выполните преобразование
помогите пожалуйста

Приложения:

Ответы

Ответ дал: aiko1314
0

Ответ:

10) (2x-3y)²=

(2x)²-2*2x*3y+(3y)²=

4x²-12xy+9y²

Ответ дал: klimenkovaliza7
1

Ответ:

В прикреплённом файле

Приложения:
Вас заинтересует