• Предмет: Алгебра
  • Автор: rbnytttt
  • Вопрос задан 3 года назад

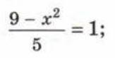
Найдите произведение корней уравнения

Приложения:

Ответы

Ответ дал: natalyabryukhova
0

Ответ:

\frac{9-x^2}{5}=1 \\ 9-x^2=5\\x^2-4=0\\(x-2)(x+2)=0\\x_1=2\\x_2=-2\\x_1*x_2=-4

Объяснение:

Ответ дал: remse58
0

Ответ:

-4

Объяснение:

На рисунке показано.

Приложения:
Вас заинтересует