• Предмет: Алгебра
  • Автор: meyerms4572
  • Вопрос задан 3 года назад

ПОЖАЛУЙСТА ОЧЕНЬ СРОЧНО! РЕШИТЕ ДВЕ НЕРАВЕНСТВ.ЗАДАЧКИ:29;30. Не отбрасывая знаменатель​

Приложения:

meyerms4572: Да нормально скрин отпапаавь
meyerms4572: пж
NNNLLL54: да перезагрузи страницу...
meyerms4572: как перезагрузить?
meyerms4572: кааак
meyerms4572: что сделать
NNNLLL54: скрин сделала...

Ответы

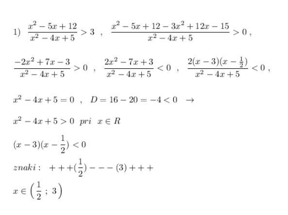
Ответ дал: NNNLLL54
0

Смотри вложение .................................................

Приложения:

LFP: в 1) примере знаменатель не имеет корней: D=16-4*5 < 0... потому его не разложить так на множители...
Вас заинтересует