• Предмет: Алгебра
  • Автор: ovsyankinromain
  • Вопрос задан 3 года назад

Сделайте пожалуйста номер 61(б) и 66.Я НЕЧАЙНО АЛГЕБРУ ПОСТАВИЛ (ГЕОМЕТРИЯ)

Приложения:

aleksandragera41: можете рисунок 41 скинуть?
ekaterinagrudeva4: я сюда не могу скинуть
aleksandragera41: я нашла, сейчас решу

Ответы

Ответ дал: aleksandragera41
1

Ответ:

61б

пусть х-∠kl, тогда ∠hk= x+120°

сумма смежных углов=180°

х+х+120=180

2х=60

х=30°- ∠kl

30+120=150°- ∠hk

66

а) ∠2=∠4=220÷2=110°(по свойству вертикальных углов)

∠1 и ∠2 смежные, ∠1 = 180-110=70°

∠1 =∠3=70°(по свойству вертикальных углов)

б)3(∠1+∠3)=∠2+∠4 - 3(2∠1)=2∠2 - 6∠1=2∠2 - ∠2=3∠1

∠2 и ∠1 смежные, ∠1-х , ∠2-3х

х+3х=180

4х=180

х=45-∠1 и ∠3

45×3=135- ∠2 и ∠4

в)∠1-х, ∠2-х+30

х+х+30=180

2х=150

х=75-∠1 и ∠3

75+30=105- ∠2 и ∠4

Ответ дал: ekaterinagrudeva4
1

Ответ:

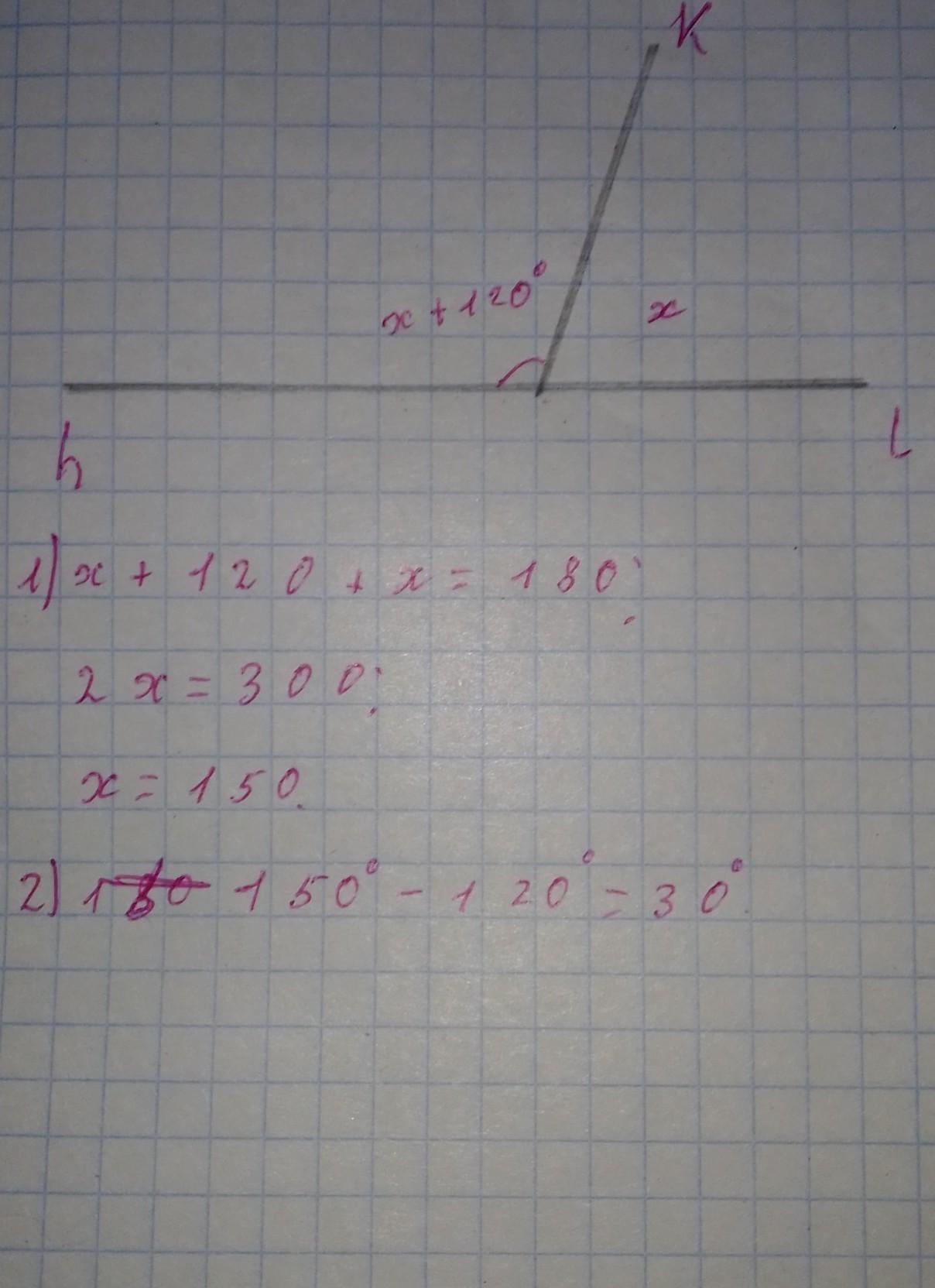
61(б)- hk-150. kl-30

Объяснение:

hk берём за x+120., а kl берём за x.

составляем уравнение.

  • x+120+x=180

2х=300

x=150

Приложения:

aleksandragera41: уравнение неправильно решено
aleksandragera41: всё равно не так
aleksandragera41: в уравнении опечатка
aleksandragera41: если уравнение х+120+х=180, то при переносе получается х+х=180-120
ekaterinagrudeva4: и тогда x=30
aleksandragera41: получается ты взяла за х+120, значит ты не можешь потом от 150 отнимать , потому что ты должна прибавить эти 120 по твоему уравнению
aleksandragera41: то есть чтобы получить 2х=300 уравнение должно быть х-120+х=180
Вас заинтересует