• Предмет: Математика
  • Автор: Pomogiteantony
  • Вопрос задан 3 года назад

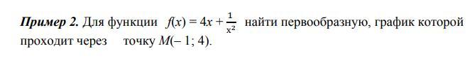
найти первообразную, график которой проходит через точку

Приложения:

Ответы

Ответ дал: 68tata
0

Ответ:

F(x)=2x^2-\frac{1}{x} +1

Решение:

1.Берем интеграл:  

\int\ {(4x+\frac{1}{x^2} } )\, dx =2x^2-\frac{1}{x}+ C

По итогу первообразная выглядит так:  

F(x) = 2x^2 - 1/x + C  

Теперь найдем постоянную из начального условия:  

F(-1) = 4  

теперь подставляем:  

4 = 2 + 1 + C;

4= 3 + C ;  

C = 1   .

Первообразная:  

F(x) = 2x^2 - 1/x + 1  

Вас заинтересует