• Предмет: Алгебра
  • Автор: Аноним
  • Вопрос задан 3 года назад

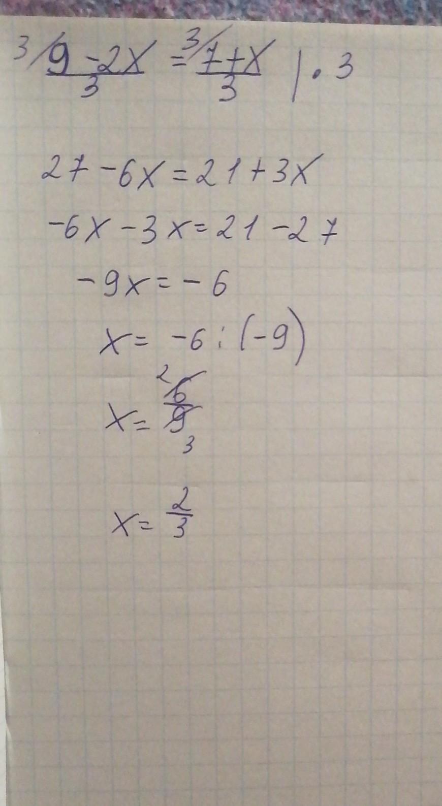
Решите уравнение путём приведения уравнений к общему знаменателю 9 - 2х/3 = 7 + х/3

Ответы

Ответ дал: lizapanzova2005
1

Ответ:

x = 2

Объяснение:

9 - 2х/3 = 7 + х/3 │*3

27 - 2x = 21 + x

-2x - x = 21 - 27

-3x = -6

x = 2

Ответ дал: klimenkovaliza7
1

Ответ:

В прикреплённом файле

Приложения:
Вас заинтересует