• Предмет: Математика
  • Автор: litkira157
  • Вопрос задан 3 года назад

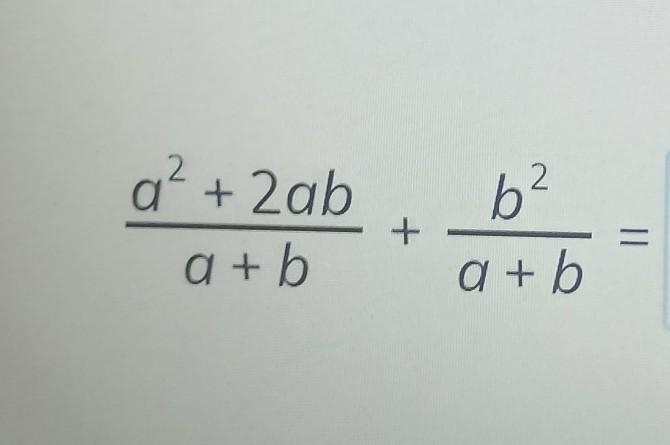
упростить выражение, плииз очень срочно ​

Приложения:

Dreamcatcher579: a + b

Ответы

Ответ дал: alikholod87
1

Ответ:

a^2+2ab+b^2/a+b=(a+b)^2/a+b=a+b/1=a+b

Ответ дал: ksushaybff
1
Ответ:

a+b

Объяснение:

(a²+2ab/a+b) + (b²/a+b) = (a²+2ab+b²/a+b) = ((a+b)²/a+b) = a+b
Вас заинтересует