• Предмет: Алгебра
  • Автор: tarkhanov0v2
  • Вопрос задан 3 года назад

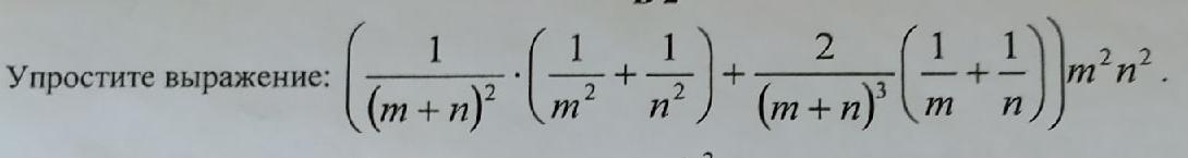
Упростить выражение.

Приложения:

Ответы

Ответ дал: Universalka
1

1)\frac{1}{(m+n)^{2} }*(\frac{1}{m^{2}}+\frac{1}{n^{2}})=\frac{1}{(m+n)^{2}}*\frac{m^{2}+n^{2}}{m^{2}n^{2}}=\frac{m^{2}+n^{2}}{(m+n)^{2}m^{2}n^{2}}\\\\2)\frac{2}{(m+n)^{3}}(\frac{1}{m} +\frac{1}{n})= \frac{2}{(m+n)^{3} }*\frac{m+n}{mn}=\frac{2}{mn(m+n)^{2}}

3)\frac{m^{2}+n^{2}}{(m+n)^{2}*m^{2} n^{2}}*m^{2}n^{2} +\frac{2}{mn(m+n)^{2}}*m^{2} n^{2}=\frac{m^{2}+n^{2}}{(m+n)^{2}}+\frac{2mn}{(m+n)^{2}}=\frac{m^{2}+2mn+n^{2}  }{(m+n)^{2}}=\\=\frac{(m+n)^{2} }{(m+n)^{2}}=1\\\\Otvet:\boxed{1}

Вас заинтересует