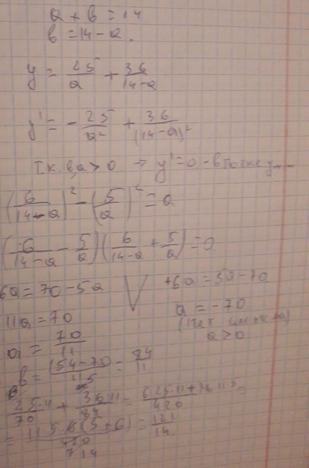
пр63) Если для положительных чисел a и b выполняется равенство a + b=14 , то найдите наименьшее значение выражения 25/a + 36/b .
(тема- производные)
Заранее спасибо!
Приложения:

Ответы
Ответ дал:
1
Ответ:
В) 121/14
Пошаговое объяснение:
на рисунке........
Приложения:

Ответ дал:
1
...............................
Приложения:

Вас заинтересует
2 года назад
2 года назад
2 года назад
2 года назад
7 лет назад
9 лет назад
9 лет назад