• Предмет: Алгебра
  • Автор: tarkhanov0v2
  • Вопрос задан 3 года назад

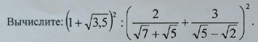
Задание в прикрепленном файле

Приложения:

Ответы

Ответ дал: Evgenia4836
1

Ответ:

0,5

Объяснение:

(1+√3,5)²:(2(√7-√5)/(7-5)+ 3(√5+√2)/(5-2))²= (1+2√3,5+3,5):(√7-√5+√5+√2)²= (4,5+2√3,5):(√7+√2)²= (4,5+2√3,5):(7+2√14+2)= (4,5+2√3,5):(9+2√14)= (4,5+√14):2(4,5+√14)= 1/2= 0,5

Вас заинтересует