50 БАЛЛОВ, ЕГЭ профильная математика, помогите пожалуйста. не могу решить неравенство
Приложения:
                     
                            
                    mmb1:
                    все трудно или гдето затык ???
                
            
                    
                    всё(
                
            
                    
                    две подсказки
25^x - 9*10^x + 24*4^x <= 0
делим на 10^x
(5/2)^x - 9 + 24*(2/5)^x <= 0
5/2^x = t
t - 9 + 24/t <= 0
это квадратное уравнение решаете и обратно показательному
это по второму
            25^x - 9*10^x + 24*4^x <= 0
делим на 10^x
(5/2)^x - 9 + 24*(2/5)^x <= 0
5/2^x = t
t - 9 + 24/t <= 0
это квадратное уравнение решаете и обратно показательному
это по второму
                    
                    по первому
находите ОДЗ
log(a) b = 1/log(b) a
log(x^2 - 1) (x^2 + 1) = 1/log(x^2 + 1) (x^2 - 1)
log(x^2 - 1) (x^2 + 1) =
t + 2/t - 3 <= 0
(t^2 -3t + 2)/t <= 0
решаете его и обратно к логарифмам
и собираете первый ответ , этот + одз
            находите ОДЗ
log(a) b = 1/log(b) a
log(x^2 - 1) (x^2 + 1) = 1/log(x^2 + 1) (x^2 - 1)
log(x^2 - 1) (x^2 + 1) =
t + 2/t - 3 <= 0
(t^2 -3t + 2)/t <= 0
решаете его и обратно к логарифмам
и собираете первый ответ , этот + одз
                    
                    спасибо
                
            
                    
                    аккуратно одз ищите в первом (t^2 -9t + 24)/t <=0  знаменателт > 0 его отбросить
во втором(t^2 -3t + 2)/t <= 0 нельзя отбраСывать
            во втором(t^2 -3t + 2)/t <= 0 нельзя отбраСывать
                    
                    Извините, не поможете еще с одним вопросом https://znanija.com/task/37832955
                
            
                    
                    50 баллов спамеров, как комаров на кровь, тянет {{{{{{{{{
                
            
                    
                    )), я уже решил, можете удалять вопрос)
                
            
                    
                    аватар ставьте соотвеетствущий полу }}}}}}}}}}}}}}}}}}}}}}}}}}}}}
                
            Ответы
                                            Ответ дал: 
                                                                                            
                                                    
                                                
                                                                                    
                                        
                                            
                                                
                                                
                                                
                                                    3
                                                
                                            
                                        
                                    Ответ:
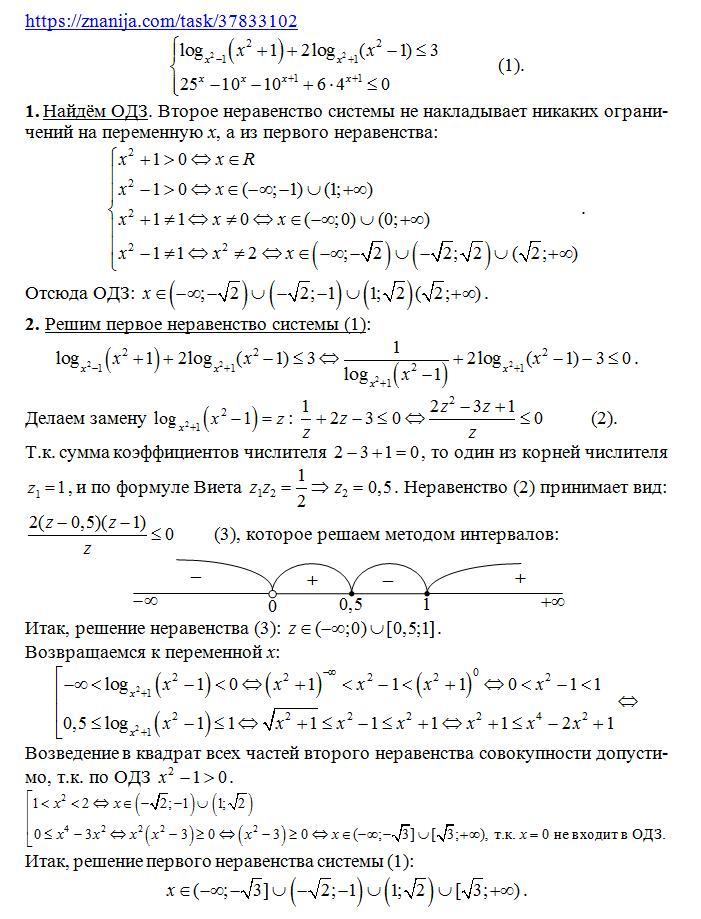
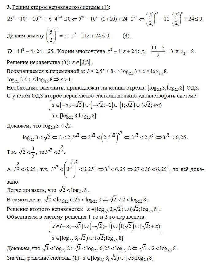
Решение в двух приложениях, ответ - в конце второго приложения.
Объяснение:
Приложения:
                     
                             
                            
                    
                    Первое неравенство неправильно решили. Первая проблема в ОДЗ!
                
            
                    
                    SergFlint в каком приложении вы оформляли это? Меня заинтересовало то, как вы начертили интервалы(Это заготовленная картинка или как?)
                
            
                    
                    Заготовок у меня нет - на все случаи не запасёшься. Картинка не самая сложная, а у меня достаточно навыков в WORD и Paint, чтобы достаточно быстро, пользуясь этими инструментами, сделать эту картинку.
                
            
                    
                    Да, у меня ошибка в ОДЗ.  Пропустил в последней строке системы интервал (-√2;√2).
                
            
                    
                    Так корень из 3 включается...
                
            
                    
                    Снова ошибка в первом неравенстве ...
                
            
                    
                    Там же из-за ОДЗ просто не равно sqrt(2) ,следовательно x>1 ,что включает точку sqrt(3)
                
            
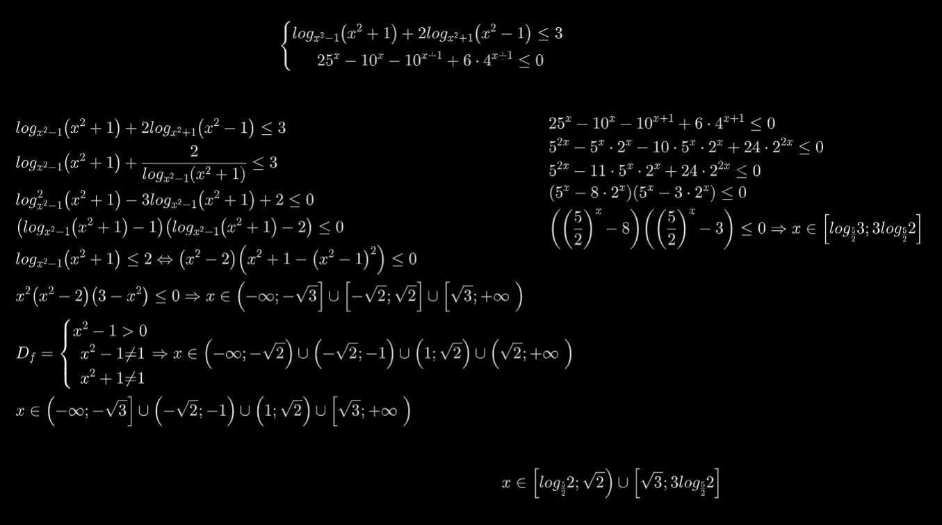
                                            Ответ дал: 
                                                                                    
                                        
                                            
                                                
                                                
                                                
                                                    2
                                                
                                            
                                        
                                    //////////////////////////////////////////
Приложения:
                     
                            
                    
                    Хорошее решение. И оформление не плохое
                
            
                    
                    Решение хорошее, но почему Вы не доказываете это http://prntscr.com/u8yi0f ? Задача профильного уровня ЕГЭ и сравнение этих значений на калькуляторе не возможно.
                
            
                    
                    На ЕГЭ и не требуются данные доказательства
                
            
                    
                    Странно. У нас в 1966 году ЕГЭ не было, да и калькуляторов не было, но если бы такая задача попалась бы на письменном выпускном экзамене, и в решении не оказалось бы этих доказательств, то работа на высшую оценку не тянула бы.
                
            
                    
                    Сейчас не такие времена ,да и никакими калькуляторами не пользовался ,всё и так видно ,мне уж точно
                
            
                    
                    Это НЕ очевидно..
                
            
                    
                    Кому как
                
            Вас заинтересует
                
                        2 года назад
                    
                
                        2 года назад
                    
                
                        2 года назад
                    
                
                        2 года назад
                    
                
                        7 лет назад
                    
                
                        9 лет назад
                    
                
                        9 лет назад