• Предмет: Математика
  • Автор: robo48
  • Вопрос задан 3 года назад

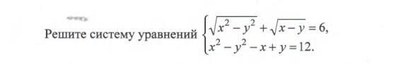
Решите систему уравнений

Приложения:

Ответы

Ответ дал: DNHelper
1

Ответ:

(4; 0)

Пошаговое объяснение:

\displaystyle\left \{ {{\sqrt{x^2-y^2}+\sqrt{x-y}=6,} \atop {x^2-y^2-(x-y)=12}} \right.

Пусть \sqrt{x^2-y^2}=a,\sqrt{x-y}=b:

\displaystyle\left \{ {{a+b=6,} \atop {a^2-b^2=12}} \right.\left \{ {{a+b=6,} \atop {(a+b)(a-b)=12}} \right.\left \{ {{a+b=6,} \atop {6\cdot (a-b)=12}} \right. \left \{ {{a+b=6,} \atop {a-b=2}} \right. \Rightarrow\\\Rightarrow\left \{ {{a=4} \atop {b=2}} \right. \left \{ {{\sqrt{x^2-y^2}=4,} \atop {\sqrt{x-y}=2}} \right. \left \{ {{x^2-y^2=16,} \atop {x-y=4}} \right. \left \{ {{(x-y)(x+y)=16,} \atop {x-y=4}} \right. \Rightarrow

\displaystyle\Rightarrow\left \{ {{4\cdot (x+y)=16,} \atop {x-y=4}} \right.\left \{ {{x+y=4,} \atop {x-y=4}} \right. \left \{ {{x=4} \atop {y=0}} \right.

Вас заинтересует