• Предмет: Математика
  • Автор: rdzhantemirov
  • Вопрос задан 3 года назад

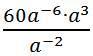
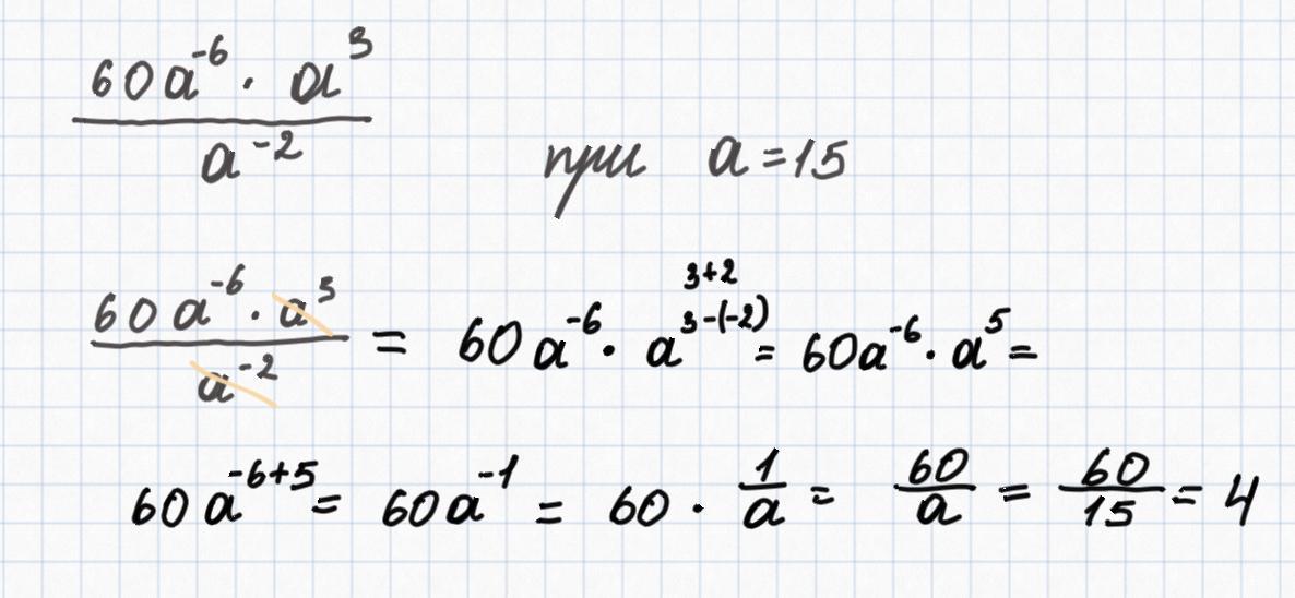
Упростите выражение и найдите его значение при a=15.

Приложения:

Ответы

Ответ дал: cooolery
1

Ответ:

\frac{x}{y} \frac{60a^{-6}\timesa^3}{a^{-2}}=\frac{60(15)^{-6} \times15^3}{15^{-2}}=\frac{60\times\frac{1}{11390625} \times3375}{\frac{1}{225}}=\frac{4}{759375}\times3375\times 225=\frac{4}{225}\times225=4

Ответ дал: mv13052005
0
Смотри картинку, если что то не понятно пиши ;)
Приложения:
Вас заинтересует