Ответы
Ответ дал:
1
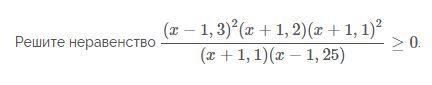
решим методом интервалов. Корни числителя и знаменателя левой
части х=1.3; х=-1.2;х=-1.1; х=1.25
_______-1.2_____-1.1____1.25______1.3_______
- + - + +
х∈[-1.2;-1.1)∪(1.25;+∞)
Ответ дал:
1
Ответ:
=================================
Объяснение:
Приложения:

Вас заинтересует
2 года назад
2 года назад
2 года назад
7 лет назад
9 лет назад