Ответы
Ответ дал:
0
Объяснение:
☆☆☆☆☆☆☆☆☆☆☆☆☆☆☆☆☆☆☆☆☆☆☆
Приложения:

Ответ дал:
0
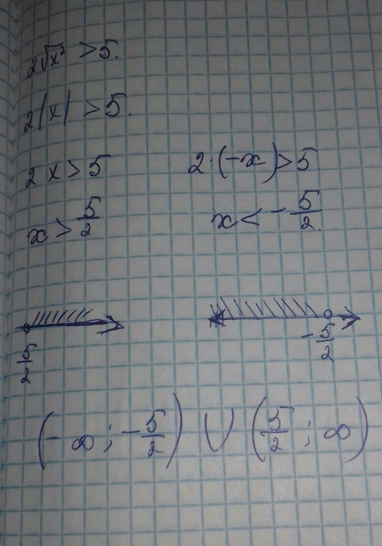
Ответ: x<-2,5; x>2,5
Объяснение:
2×√x²>5
√x²>5:2
√x²>2,5
|x|>2,5
x<-2,5
x>2,5
PS:
|x|>а: При а>0 x<-a и x>a
При а<0 -a<x<a
Вас заинтересует
2 года назад
2 года назад
2 года назад
7 лет назад
7 лет назад
9 лет назад
9 лет назад