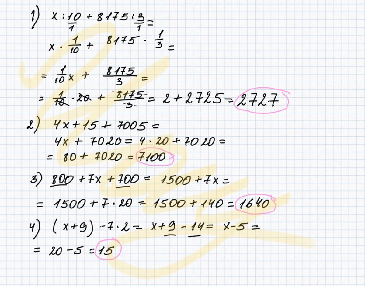
Сначала упрости выражения, затем найди их значения при x = 20
x:10+8175:3
4*x+15+7005
800+7*x+700
(x+9)-7*2
Ответы
Ответ дал:
1
1) х:10+2725= 20:10+2725=2+2725=2727
2) 4х+7020=80+7020=8000
3) 1500+7х=1500+140=1940
4) (х+9)-14=15
2) 4х+7020=80+7020=8000
3) 1500+7х=1500+140=1940
4) (х+9)-14=15
Ответ дал:
0
На фотографии розовом выделены ответы, упростила как могла)
Приложения:

Вас заинтересует
2 года назад
2 года назад
2 года назад
7 лет назад
7 лет назад
9 лет назад