Ответы
Ответ дал:
2
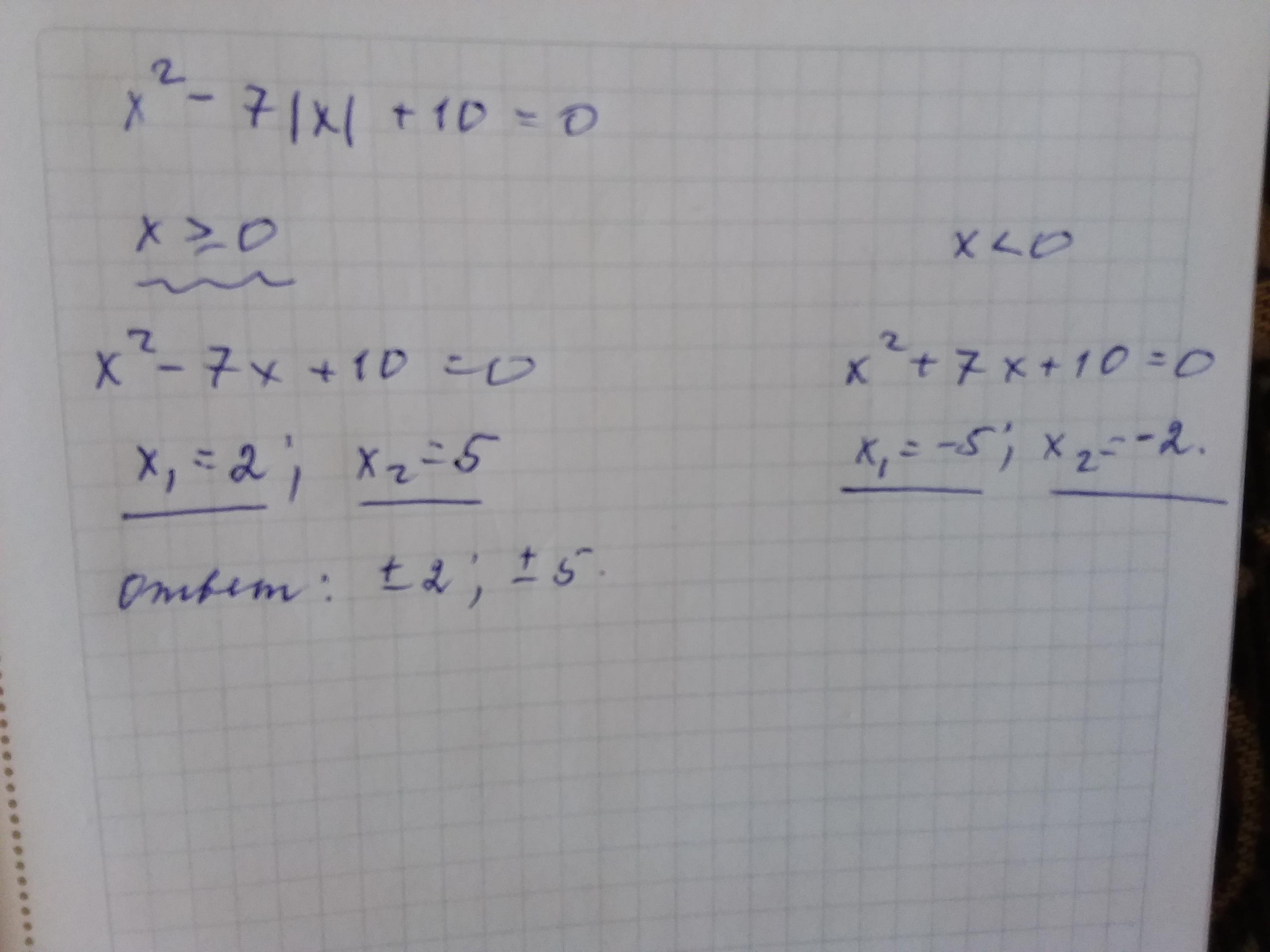
Пусть |x| = t, t ≥ 0 :
По теореме Виета :
-------------------
Обратная замена :
|x| = 2 => x = ± 2
|x| = 5 => x = ± 5
Ответ : Уравнение имеет 4 решения : ± 2 , ± 5
Ответ дал:
1
.................................
Приложения:

Вас заинтересует
2 года назад
2 года назад
2 года назад
2 года назад
7 лет назад
7 лет назад