Ответы
Ответ дал:
1
Ответ:
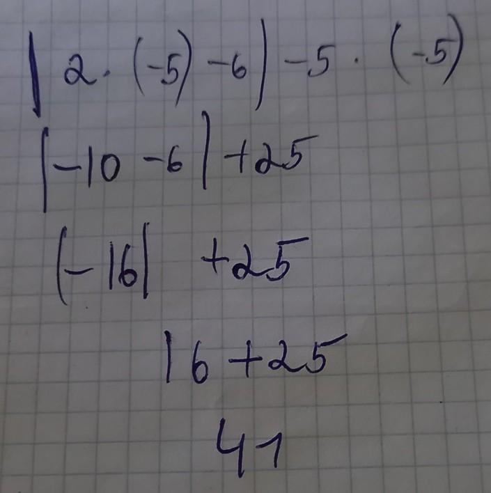
Во первых поставь значение х в примере потом умножь числа.Потом вычисли разность когда вычислял минус 16 в модуле плюс 25 будет из модуля выходить всегда положительные числа
Приложения:

Вас заинтересует
2 года назад
2 года назад
2 года назад
2 года назад
7 лет назад
7 лет назад
9 лет назад
9 лет назад