• Предмет: Математика
  • Автор: SAKYC
  • Вопрос задан 3 года назад

Даю 60 баллов. Помогите пожалуйста!!!!

Приложения:

Alexandr130398: первый раз слышу о множителях числа, что это? Числа кратные 15?
Alexandr130398: Ответы есть?
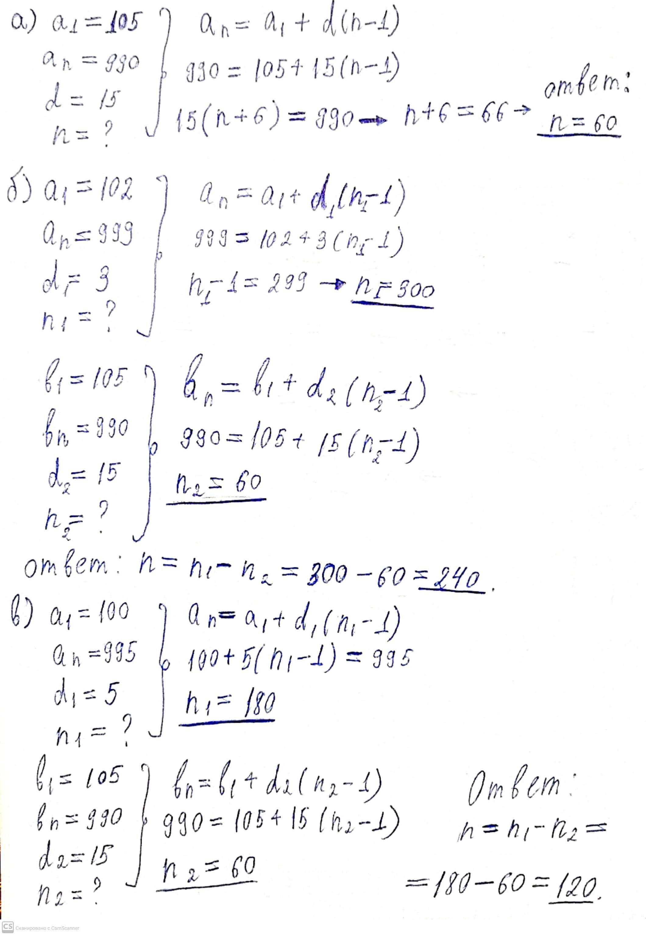
Alexandr130398: а) 60; б) 240; в) 120

Ответы

Ответ дал: Асик777Асик
1

Здесь необходимо воспользоваться арифметической прогрессией. Далее решение и ответ Вы можете увидеть во вложении.

Удачи Вам и успехов)!

Приложения:
Вас заинтересует