• Предмет: Математика
  • Автор: Bumblee
  • Вопрос задан 3 года назад

Нужно быть собой, слышишь, мне говорили можно

Приложения:

shewchenko06: Это класстайм?
shewchenko06: Если да то просто скажи я тебе дам на все ответи сразу
Alexandr130398: 2) 2
Bumblee: Нет братик, но ты так дай, вдруг то

Ответы

Ответ дал: kirichekov
0

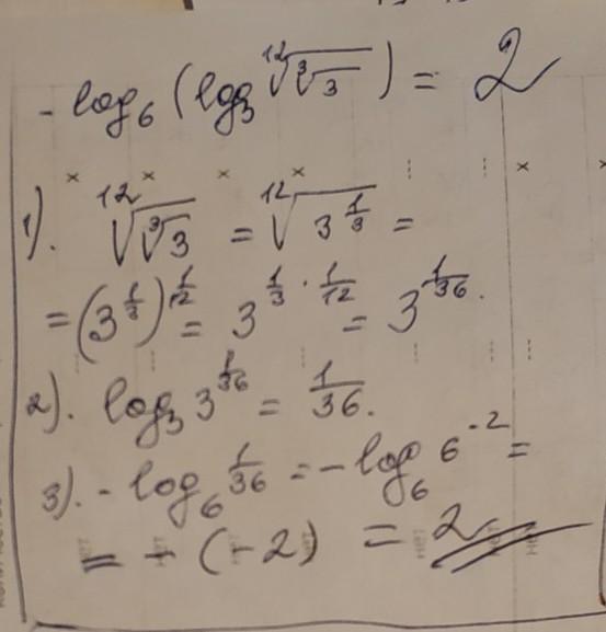
Ответ:

= 2

Пошаговое объяснение:

решение во вложении

Приложения:
Вас заинтересует