• Предмет: Алгебра
  • Автор: Nurzhan94
  • Вопрос задан 3 года назад

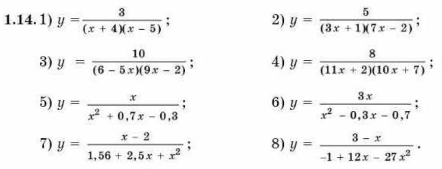
Найдите области определения функций

Приложения:

Ответы

Ответ дал: nafanya2014
0

Знаменатель не должен равняться нулю.

1) (x+6)(x-5)≠0

x+6≠0 и  x-5≠0

x≠-6     и     х≠5

О т в е т. (-∞;-6) U (-6;5) U (5;+∞)

2) (3x+1)(7x-2)≠0

3x+1≠0 и  7x-2≠0

x≠-1/3     и     х≠2/7

О т в е т. (-∞;-1/3) U (-1/3;2/7) U (2/7;+∞)

3)(6-5x)(9x-2)≠0

6-5x≠0 и  9x-2≠0

x≠6/5     и     х≠2/9

О т в е т. (-∞;2/9) U (2/9;6/5) U (6/5;+∞)

4)(11x+2)(10x+7)≠0

11x+2≠0 и  10x+7≠0

x≠-2/11     и     х≠-7/10

О т в е т. (-∞;-7/10) U (-7/10;-2/11) U (-2/11;+∞)

5) x^2+0,7x-0,3≠0

D=0,7^2-4·(-0,3)=0,49+1,2=1,69=1,3²

x≠-1    и   х≠0,3

О т в е т. (-∞;-1) U (-1;0.3) U (0,3;+∞)

6)x^2-0,3x-0,7≠0

D=(-0,3)^2-4·(-0,7)=0,09+2,8=2,89=1,7²

x≠-0,7    и   х≠1

О т в е т. (-∞;-0,7) U (-0,7;1) U (1;+∞)

7)x^2+2,5x+1,56≠0

D=(2,5)^2-4·(1,56)=6,25-6,24=0,01=0,1²

x≠-1,3    и   х≠-1,2

О т в е т. (-∞;-1,3) U (-1,3;-1,2) U (-1.2;+∞)

8)27x^2-12x+1≠0

D=(-12)^2-4·27·1=144-108=36=6²

x≠1/9    и   х≠1/3

О т в е т.(-∞;1/9) U (1/9;1/3) U (1/3;+∞)

Вас заинтересует