• Предмет: Математика
  • Автор: 4na4ka
  • Вопрос задан 3 года назад

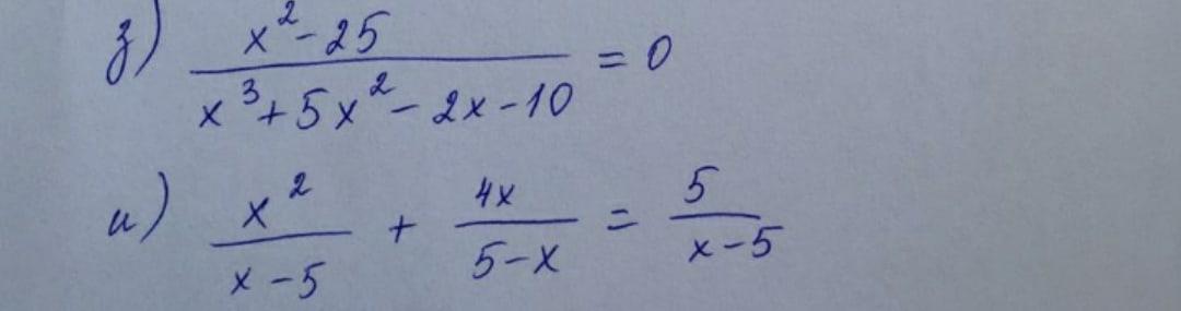
решите x^2-25 / x3+5x^2-2x-10=0 и ...

Приложения:

Ответы

Ответ дал: manyny06
1

Ответ:

решение смотри на фотографии

Пошаговое объяснение:

Приложения:
Вас заинтересует