• Предмет: Физика
  • Автор: sahnova2006
  • Вопрос задан 3 года назад

Будьласка поможіть рішити задачу.
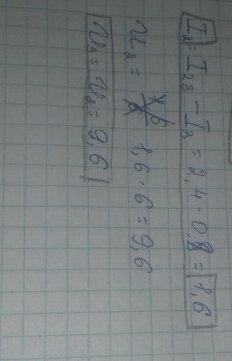
Відомо: U=12B; R1=1 Ом; R2=6 Ом; R3=12 Ом. Знайти: R,U1, I1, U2, I2, U3, I3 - ?

Приложения:

Ответы

Ответ дал: atamuradovaparvina
1

Ответ:

R23 это не 23 а общий потребитель двух потребителей под номером 2 и 3

Приложения:
Вас заинтересует