• Предмет: Математика
  • Автор: samandararis115
  • Вопрос задан 3 года назад

Найти все значения параметра а при котором уравнение показанное на ФОТО имеет более одного решения на интервале ( 0 ; п/2 )​

Приложения:

Ответы

Ответ дал: Alexandr130398
1

Ответ:

a \in \left(-1; - \frac{2}{3}\right) \cup \left(- \frac{2}{3}; - \frac{1}{3}\right)

Пошаговое объяснение:

Приложения:

OneGyrus: А разве можно было просто снять модуль с корня дискриминанта? Ну не знаю, это надо проверять
OneGyrus: Да все таки можно , там идет игра минусов и плюсов в корнях
OneGyrus: Еще это можно объяснить тем, что данное уравнение могло быть решено разложением на множители)
Ответ дал: OneGyrus
0

Ответ: a∈(-1;-2/3) ∪ (-2/3 ; -1/3)

Пошаговое объяснение:

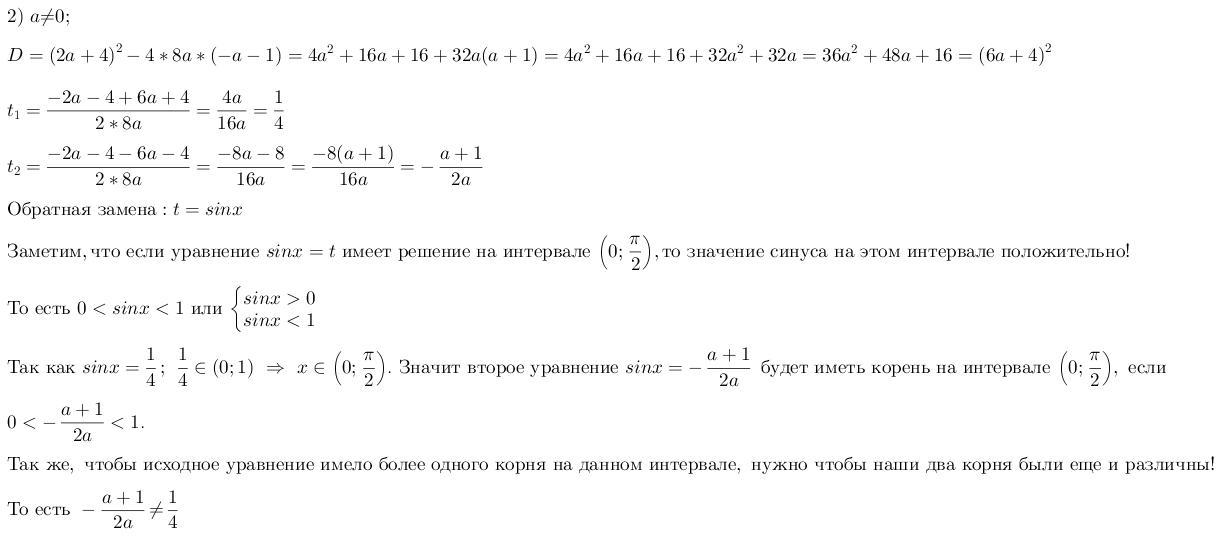
ОДЗ: sin(x) \neq 0

Используем формулу:

ctg^2(x) = \frac{1}{sin^2(x)}  -1

Замена:  \frac{1}{sin(x)}  = t\neq 0

(1+a)(t^2-1) -(2a+4)t +1-7a = 0\\(1+a)t^2 -(2a+4)t -8a =0

Заметим, что для того чтобы существовало одно решение на интервале (0;π/2), необходимо и достаточно, чтобы выполнялось условие  0<sin(x)<1 , в этом случае на промежутке (0;π/2) будет существовать ровно ОДНО значение x, в противном случае, решений на данном промежутке не будет.

Откуда, должно выполнятся условие: t>1

По условию, нужно найти те значения параметра a, при которых будет более одного решения на интервале (0;π/2), а значит данное уравнение должно иметь как минимум два положительных решения.

1)

Рассмотрим линейный случай, ибо может быть бесконечное число решений:  a=-1

-2t-8a = 0 - одно решение

2) Основной случай.

Должно быть два корня, каждый из которых больше единицы  :

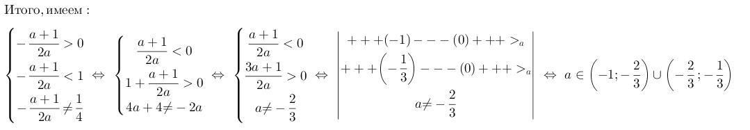
(1+a)t^2 -(2a+4)t -8a =0\\\frac{D}{4}  = (a+2)^2 +8a(1+a)  = 9a^2+12a+4 = (3a+2)^2>0\\ a\neq-\frac{2}{3}  \\t_{1} = \frac{a+2+3a+2}{1+a}=4>1 \\t_{2} = \frac{a+2-3a-2}{1+a} >1\\\frac{-2a}{1+a} >1\\\frac{3a+1}{a+1} < 0\\ \left \{ -1<a<-\frac{1}{3}  \atop {a\neq-\frac{2}{3}  }} \right.

a∈(-1;-2/3) ∪ (-2/3 ; -1/3)

Вас заинтересует