• Предмет: Математика
  • Автор: kazol
  • Вопрос задан 3 года назад

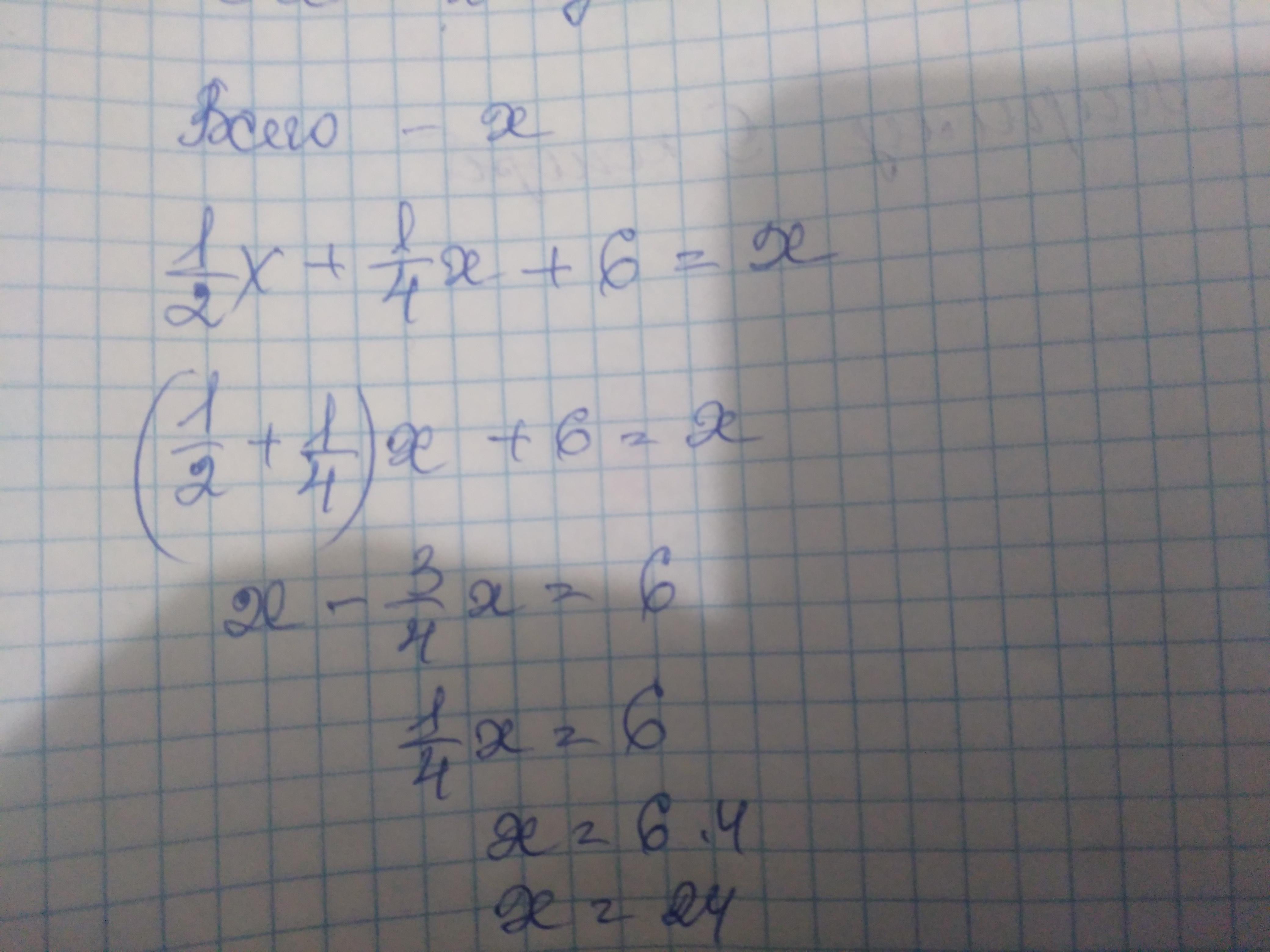
Хозяйка раскладывала в банки помидоры. В одну банку она положила половину всех помидоров, во вторую - половину оставшихся. А остальные помидоры положила в третью банку. Сколько у хозяйки помидоров, если в третьей банке их 6?


kazol: 24?
MizoriesKun: Да

Ответы

Ответ дал: MizoriesKun
1

Смотри.......................

Приложения:
Вас заинтересует