• Предмет: Математика
  • Автор: raximovjasur508
  • Вопрос задан 3 года назад

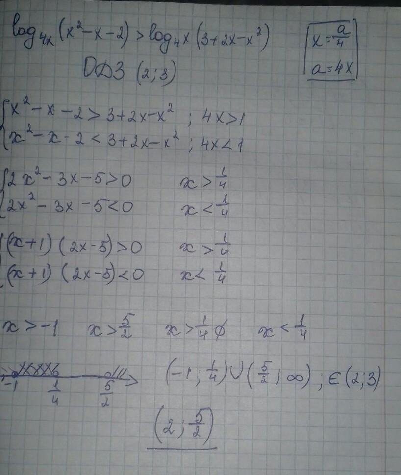
помоги с этим примером​

Приложения:

atamuradovaparvina: у меня выходит ответ 2.5 и 3?!
raximovjasur508: не 3 а 2 должен быть
atamuradovaparvina: ну да ОДЗ (2;3) поэтому возможно
raximovjasur508: а как решила
raximovjasur508: отпраишь на листочке
atamuradovaparvina: да сейчас нормально перепишу с черновика)
raximovjasur508: окей

Ответы

Ответ дал: atamuradovaparvina
0

Ответ:

прошу обратить внимание на квадратик в верхнем углу))

Приложения:
Вас заинтересует