• Предмет: Алгебра
  • Автор: zhanelkunanbaeva
  • Вопрос задан 3 года назад

Помогите мне пожалуйста
(。ŏ﹏ŏ) ​

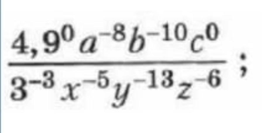
Приложения:

Ответы

Ответ дал: NNNLLL54
1

\dfrac{4,9^0\cdot a^{-8}\cdot b^{-10}\cdot c^0}{3^{-3}\cdot x^{-5}\cdot y^{-13}\cdot z^{-6}}=\dfrac{1\cdot a^{-8}\cdot b^{-10}\cdot 1}{3^{-3}\cdot x^{-5}\cdot y^{-13}\cdot z^{-6}}=\dfrac{3^3\cdot x^5\cdot y^{13}\cdot z^6}{a^8\cdot b^{10}}=\\\\\\=\dfrac{27\cdot x^5\cdot y^{13}\cdot z^6}{a^8\cdot b^{10}}

Вас заинтересует