Ответы
Ответ дал:
2
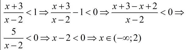
Ответ : x < 2
Ответ дал:
2
Ответ:
x<2
Объяснение:во вложении
Приложения:

Вас заинтересует
2 года назад
2 года назад
2 года назад
2 года назад
7 лет назад
7 лет назад
9 лет назад