• Предмет: Алгебра
  • Автор: xo4y3natt
  • Вопрос задан 3 года назад

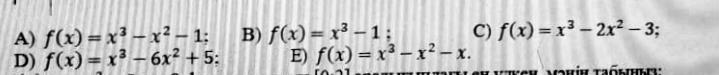
Помогите по алгебре) График какой функции показан на рисунке?

Приложения:

OneGyrus: Хм. А возможно ответ будет и не e , там такой жирный график, что и непонятно пересекает ли он начало координат
OneGyrus: Хотя в других вариантах все свободные члены по модулю больше 1, так что не может не пересекать в нуле
OneGyrus: Значит ошибка авторов
OneGyrus: вернее не меньше единицы
OneGyrus: И вообще вопрос на засыпку. Как так ? -1 в положительной части оси y ? Что то тут не так
OneGyrus: Хм, похоже тут неправильная ориентация оси y. Не знаю зачем так сделали. Ну да ладно. Тогда все нормально ответ e.
xo4y3natt: Спасибо
NNNLLL54: ни один график не подходит
OneGyrus: е подходит если сменить ориентацию осей
NNNLLL54: на рис. указана ориентация, для неё нет верного графика

Ответы

Ответ дал: natalyabryukhova
1

Ответ:

Объяснение:

На графике видно, что при х=0 у=0. Этому условию соответствует только график Е)

Т.Е., если подставить значения х=0, то

А) f(0)=-1

B) f(0)=-1

C) f(0)=-3

D) f(0)=5

E) f(0)=0!

Проверим на экстремумы:

f'(x)=3x^2-2x-1\\x=\frac{2^+_-\sqrt{4+12} }{6}=\frac{2^+_-4 }{6} \\x_1=1\\x_2=-\frac{1}{3}\\ ++++[-\frac{1}{3}]-----[1]+++++\\ x_{max}=-\frac{1}{3}\\ x_{min}=1

Этот график тоже не подходит)))))

Ответ дал: Аноним
0

Сразу бросается в глаза точка (0;0) и непонятно, почему на оси Оу вдруг  выше начала координат есть точка с  ординатой -1, притом, что стрелки ориентированы вправо и вверх, т.е. куда надо), если посчитать это опечаткой, то точка (0;0)   подходит только к графику Е, проверим еще пару точек, которые видны на графике это (-1;1); (-2;0), для удобства запишем уравнение функции у=х*(х²-х-1)

1=-1*(1-1-1)- выполняется.

0=-2*(4+2-2)- не выполняется. смею предположить, что никакой из предложенных графиков не показан на рисунке.

Вас заинтересует