• Предмет: Математика
  • Автор: uncolorful
  • Вопрос задан 3 года назад

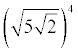
упростите выражение......

Приложения:

Ответы

Ответ дал: tanyaradchukk
0

Ответ:

Пошаговое объяснение:

(5кв. Корень из2)²= 25×2=50

Вас заинтересует