• Предмет: Математика
  • Автор: gmerincevao
  • Вопрос задан 3 года назад

помогите пожалуйста​

Приложения:

Ответы

Ответ дал: Akimovyaroslav
0

Ответ:

Пошаговое объяснение:

Ответ дал: Аноним
0

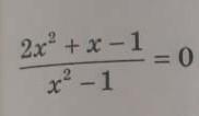
\frac{2x^{2} +x-1}{x^{2} -1} =0

{ 2x^{2} +x-1=0     =>   D = 1 + 8 = 9 = 3^2   =>  x = ( -1 ± 3)/4

{ x^{2} -1\neq 0     =>    x^{2} \neq 1

------------------------

{ x = -1

{ x = 0.5

{ x ≠ 1

{ x ≠ -1

Ответ : x = 0.5

Вас заинтересует