ПОМОГИТЕ ПОЖАЛУЙСТА!!!!!!!!!!!!
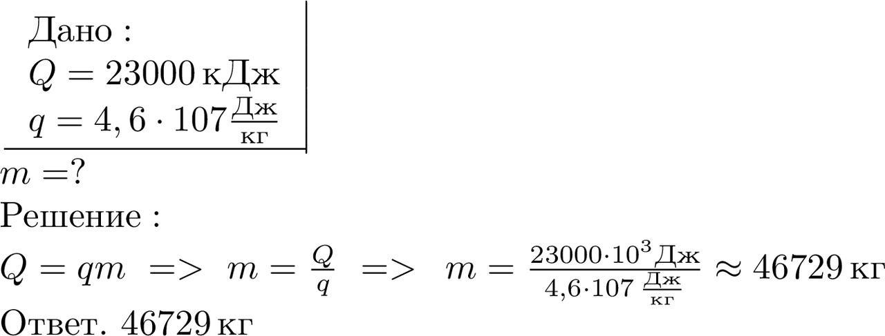
количество бензина, необходимое для получения 23000 кДж энергии при полном сгорании (q = 4,6 * 107 Дж / кг)
a) 3 кг
b) 0,5 кг
c) 2,5 кг
d) 20 кг
e) 1,5 кг
Ответы
Ответ дал:
0
...................................
Приложения:

Вас заинтересует
2 года назад
2 года назад
2 года назад
2 года назад
7 лет назад
9 лет назад
9 лет назад