• Предмет: Математика
  • Автор: khavakodzoevaa7
  • Вопрос задан 3 года назад

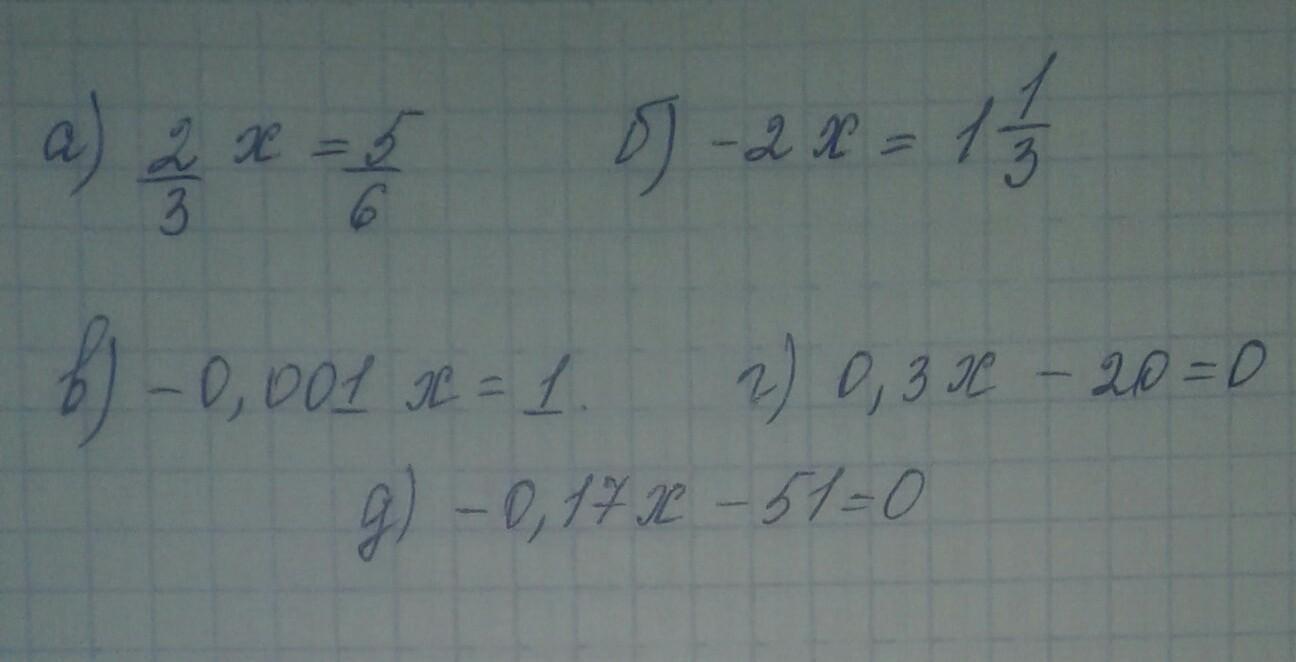
помогите пожалуйста решить уравнения ​

Приложения:

Ответы

Ответ дал: lizapanzova2005
0

Ответ:

a) 2/3x = 5/6 │*6

4x = 5

x = 1.25

b) -2x = 1 1/3

-2x = 4/3

x = - 2/3

c) -0.001x = 1

x = -1000

d) 0.3x-20 = 0

0.3x = 20

x = 66 2/3

e) -0.17x-51 = 0

-0.17x = 51

x = -300

Вас заинтересует