• Предмет: Математика
  • Автор: fidaskagirl123
  • Вопрос задан 3 года назад

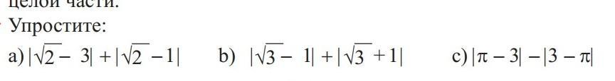
упростите:
*заранее спасибо✨​

Приложения:

Ответы

Ответ дал: Merlin322
1

Ответ:

А) 2

B)

2 \sqrt{3 }

C) 0

Пошаговое объяснение:

A) если значение выражения под модулем отрицательное, то оно "переворачивается" и становится положительным. Здесь такое происходит в первом модуле, поэтому мы получаем формулу

3 -  \sqrt{2}  +  \sqrt{2} - 1

Что равно двум

B)

Тот же самый принцип, только здесь оба выражения остаются не изменными

C) то же самое, не забываем, что pi равно 3,14

Вас заинтересует