• Предмет: Алгебра
  • Автор: Аноним
  • Вопрос задан 3 года назад

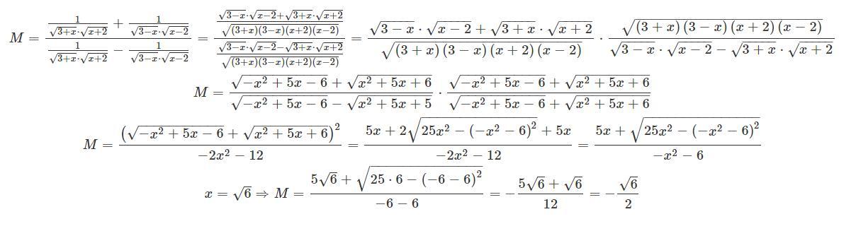
Сделать указанную подстановку и результат упростить. \frac{\frac{1}{\sqrt{3 + x}\sqrt{x + 2}} + \frac{1}{\sqrt{3 - x}\sqrt{x - 2}}}{\frac{1}{\sqrt{3 + x}\sqrt{x + 2}} - \frac{1}{\sqrt{3 - x}\sqrt{x - 2}}}


Аноним: x = \sqrt{6}

Ответы

Ответ дал: igundane
4

///////////////////////////////////////////////////////////

Приложения:

Аноним: я сразу подставлял \sqrt{6} у меня немного другой ход решения, но результат тот же.
Вас заинтересует