Я вас прошу напишите на бумаге и скиньте мне я буду очень вам благодарен
Приложения:

tolya91:
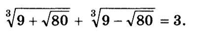
что нужно сделать. неизвестных нет
Ответы
Ответ дал:
0
Вас заинтересует
2 года назад
2 года назад
2 года назад
7 лет назад
9 лет назад