• Предмет: Математика
  • Автор: kalacheva80
  • Вопрос задан 3 года назад

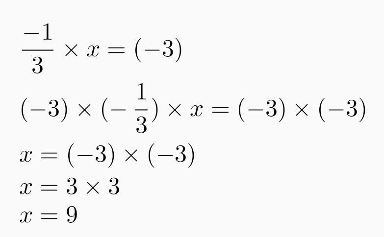
найти неизвестное число -1/3 х=3​

Приложения:

Ответы

Ответ дал: KennyLans
1

////////////////////

Приложения:
Вас заинтересует