• Предмет: Алгебра
  • Автор: stanmat
  • Вопрос задан 3 года назад

Вычислите, буду благодарен

Приложения:

Ответы

Ответ дал: igundane
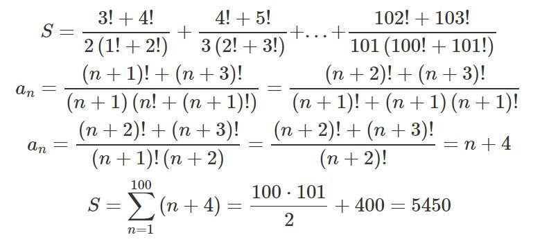
1

Вторая строчка в числителе первое слагаемое (n+2)!

Приложения:

NNNLLL54: описка во 2 строке в числителе, первое слагаемое, должно быть (n+2)!
Ответ дал: NNNLLL54
0

\dfrac{3!+4!}{2\, (1!+2!)}+\dfrac{4!+5!}{3\, (2!+3!)}+,,,+\dfrac{102!+103!}{101\, (100!+101!)}}=\\\\\\=5+6+7+...+104=\dfrac{5+104}{2}\cdot 100=54,5\cdot 100=5450\ ;\\\\\\\\a_{n}=\dfrac{(n+2)!+(n+3)!}{(n+1)\cdot (n!+(n+1)!)}=\dfrac{(n+2)!\cdot (1+(n+3))}{n!(n+1)+(n+1)(n+1)!}=\\\\\\=\dfrac{(n+2)!\cdot (n+4)}{(n+1)!+(n+1)(n+1)!}=\dfrac{(n+2)!\cdot (n+4)}{(n+1)!\cdot (1+n+1)}=\dfrac{(n+2)!\cdot (n+4)}{(n+1)!\cdot (n+2)}=\\\\\\=\dfrac{(n+2)!\cdot (n+4)}{(n+2)!}=n+4

Ряд   \sum\limits _{n=1}^{100}\, (n+4)\ -  арифметическая прогрессия,   у которой

a_1=5\ ,\ a_{100}=104\ ,\ \ d=4\ ,\ \ n=100\ ,\ \ S_{n}=\dfrac{a_1+a_{n}}{2}\cdot n  .

Вас заинтересует