Ответы
Ответ дал:
3
Ответ дал:
2
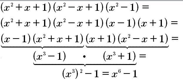
Ответ:
x⁶-1
Пошаговое объяснение:
***********************
Приложения:

Вас заинтересует
2 года назад
2 года назад
2 года назад
2 года назад
7 лет назад
7 лет назад
9 лет назад
9 лет назад