срочно нужно решение!!! спасибо зарание
Приложения:

sharofat0:
Я нечаянно нажала не ту кнопку, сори!
Ответы
Ответ дал:
1
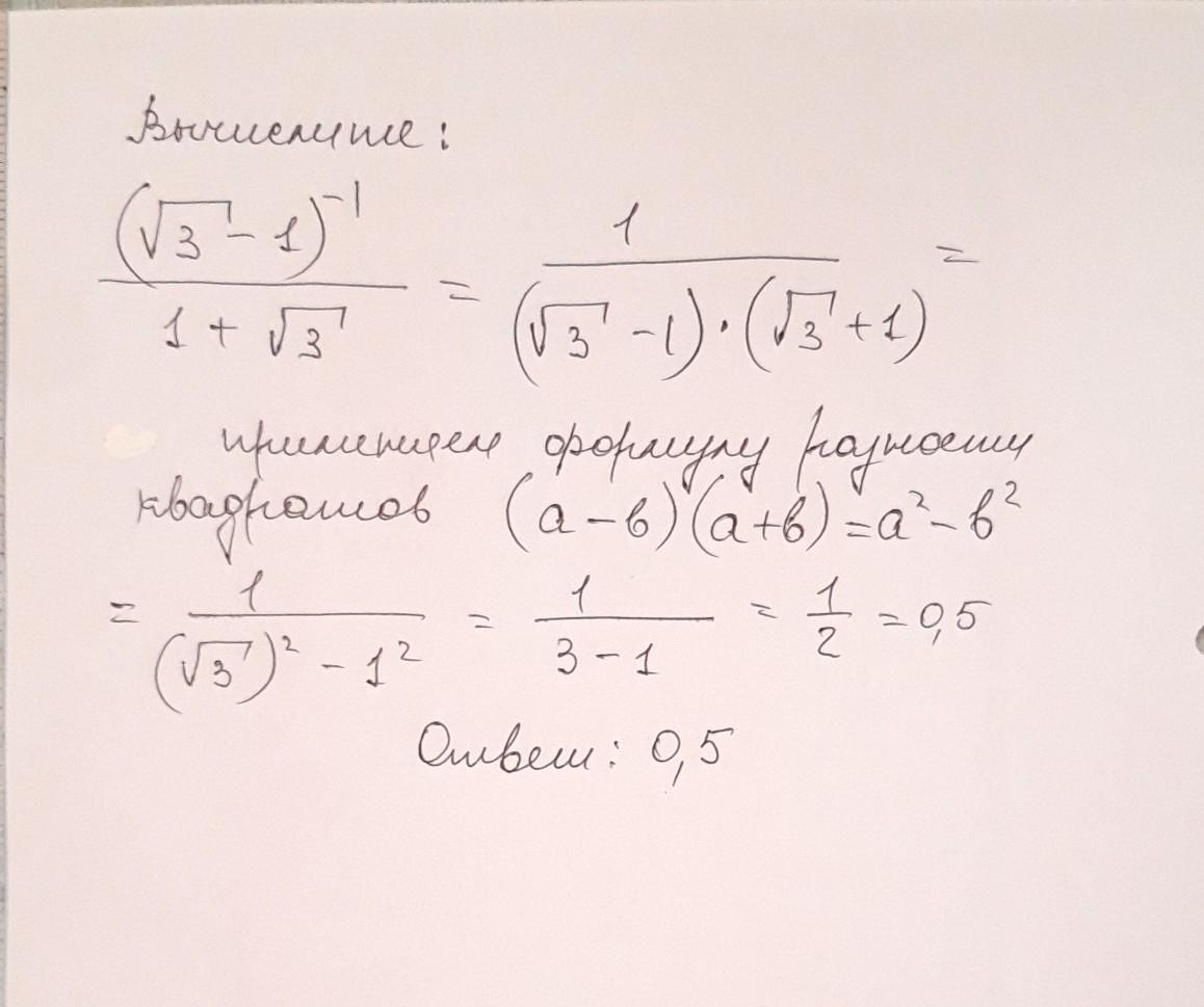
Ответ:
0,5.
Пошаговое объяснение:
Вычислить:
(√3-1)⁻¹/(1+√3)=0,5.
1)(√3-1)⁻¹= 1/(√3-1);
2)1/(√3-1) : (1+√3)=
=(1*1)/(√3-1)(1+√3)=
=1/(√3+3-1-√3)=
=1/2=0,5.
Ответ дал:
0
Ответ:
1/2
Пошаговое объяснение:
Прошу 3мин. на загрузку.
Приложения:

Вас заинтересует
2 года назад
2 года назад
7 лет назад
9 лет назад