Граждане-физики, помогите, пожалуйста. Всем спасибо заранее!
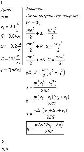
1. Пылинка, имеющая массу 10-6 кг, влетела в однородное электрическое поле вдоль его силовых линий с начальной скоростью 0,1 м/с и переместилась на расстояние 4 см. Чему равен заряд пылинки, если ее скорость увеличилась на 0,2 м/с при напряженности поля Е = 105 В/м? Ответ выразите в пикокулонах (пКл) (в ответ запишите только числовое значение).
2. Выберите ДВА верных утверждения о физических явлениях, величинах и закономерностях.
а. Явление дифракции не может наблюдаться для рентгеновского изучения.
б. Период свободных колебаний в идеальном колебательном контуре зависит только от индуктивности катушки и сопротивления резистора.
в. Массовое число ядра равно общему числу нуклонов (протонов и нейтронов) в ядре.
г. Электромагнитные волны ультрафиолетового диапазона имеют большую частоту, чем инфракрасное излучение.
д. Силой Лоренца называют силу, с которой однородное электрическое поле действует на постоянные магниты.
stanmat:
Какая масса пылинки? 10,6 кг?
Ответы
Ответ дал:
1
Вычисления не произвел, ибо некорректные данные в вопросе:
Приложения:

Вас заинтересует
2 года назад
2 года назад
2 года назад
2 года назад
7 лет назад
7 лет назад