• Предмет: Математика
  • Автор: Аноним
  • Вопрос задан 3 года назад

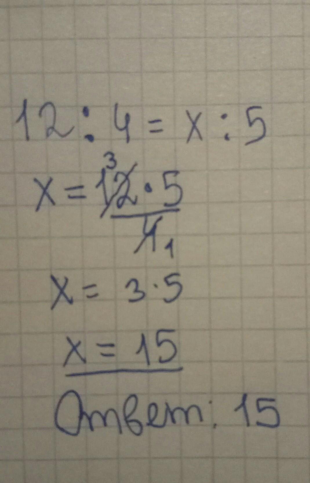
найдите неизвестный член пропорции 12:4=x:5​

Ответы

Ответ дал: valeria200317
1

Ответ:

Х=15

Решение:

12:4=х:5

Х=12*5

____

4

Х=15

Приложения:

Аноним: можно пожалуйста подробнее
valeria200317: фото прикрепила, посмотри еще раз, так подойдёт?
Ответ дал: gionak07
1

Ответ:

х=15

Пошаговое объяснение:

Применяем "золотое" правило пропорции - произведение крайних членов равно произведению средних членов пропорции.

12:4=х:5

4*х=12*5

4х=60

х=60:4

х=15

Вас заинтересует