решите пожалуйста :)
Приложения:

Ответы
Ответ дал:
2
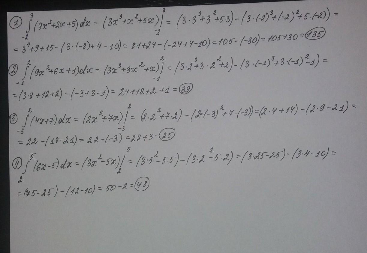
ответ:
1) 135
2) 39
3) 25
4) 48
решение:
во вложении
Приложения:

Ответ дал:
1
1) 9х³/3+2х²/2+5х=3х³+х²+5х, по формуле Ньютона - Лейбница найдем определенный интеграл. 3*3³+3²+5*3-(-24+4-10)=105+30=135
2) 9х³/3+6х²/2+х=3х³+3х²+х, по формуле Ньютона - Лейбница найдем определенный интеграл. 3*2³+3*2²+2-(-3+3-1)=38+1=39
4) 3х²-5х,по формуле Ньютона - Лейбница найдем определенный интеграл. 3*5²-25-12+10=48
3) 2х²+7х, по формуле Ньютона - Лейбница найдем определенный интеграл. 8+14+-18+21=25
Вас заинтересует
2 года назад
2 года назад
2 года назад
7 лет назад
7 лет назад
9 лет назад
9 лет назад
обращайся по ссылке:
https://www.avito.ru/moskva/predlozheniya_uslug/reshenie_zadach_po_matematike_i_fizike_1920524902
или группа вк "https://vk"+".com/extra__help"